
前言:近年來,關于國際貿易政策變化,特別是以美國為代表的肆意違反WTO和國際貿易公平基本規則的單邊加征關稅和管制措施不斷加碼,給國內外企業都造成了極大困擾。在近期的對于國際貿易合規及進出口法律規定解讀的講座及交流中,筆者都會提及關稅和管制正在成為國際貿易風險防范的主旋律,雖然很不希望貿易戰愈演愈烈,但很遺憾這種趨勢越來越得到證實。國浩律師近年來為企業提供了大量及時、專業并具有前瞻性的法律咨詢意見和建議,而在新一輪美國加征“對等關稅”和我國反制措施的背景下,我們認為有必要對進出口企業集中關注的問題進行簡要分析,以期幫助更多的中國企業應對國際貿易波譎云詭的新局面。畢竟,西方國家不能理解中國“六尺巷”的傳統智慧,做好應對才是上上之策。
目 錄
一、美國實施對等關稅的相關問題
二、中國對美國對等關稅的反制措施
三、加征關稅可能的風險及應對措施
01
美國實施對等關稅的相關問題
當地時間4月2日,美國總統特朗普宣布對外貿易與經濟行為已造成國家緊急狀態,并依據《國際緊急經濟權力法》賦予的權力實施響應性關稅。特朗普稱這一天為“解放日”,并通過行政令公布了兩種新關稅以消除美國與其貿易伙伴之間的貿易逆差。[注1]
問題一:美國到底加征了多少關稅?
首先,特朗普利用其在《國際緊急經濟權力法》下的權力,對所有國家征收10%的額外從價關稅。該稅率適用于2025年4月5日美國東部夏令時凌晨12時01分或之后申報進口供消費,或從倉庫提取供消費的商品。但在2025年4月5日凌晨12時01分之前已在裝貨港裝船并處于最終運輸方式途中的商品,在此時間之后申報進口供消費或從倉庫提取供消費的,則不適用此項額外關稅。
其次,對于與美國存在“最大貿易逆差”的國家,特朗普施加了個別化的、更高比例的“對等關稅”,其他國家則適用上述10%的關稅基準(即兩種關稅之間為替代關系)。“對等關稅”將適用于2025年4月9日美國東部夏令時凌晨12:01起申報進口供消費,或從倉庫提取供消費的商品。但在2025年4月9日凌晨12:01之前已在裝貨港口裝船并處于最終運輸方式途中的商品,在此時間之后申報進口供消費或從倉庫提取供消費的,則不適用“對等關稅”。
根據行政令附錄一,該關稅適用于包括中國在內共計57個國家和地區。具體如下:[注2]

其中,對于中國(包括香港、澳門特別行政區)加征的“對等關稅”高達34%。且根據行政令第二節(c)項,除(d)、(e)兩項規定的情況外,行政令涉及的關稅是對該等進口商品所適用的任何其他關稅、費用、稅收、征收或收費的附加稅,即本次新增的關稅是在原有關稅基礎上的額外補充。鑒于先前美國對中國產品已加征20%的全面關稅,因此,4月9日“對等關稅”生效后對中國產品加征的從價關稅通常可達54%,如再考慮對部分產品疊加的301關稅,最終稅率可能高達79%。
問題二:哪些商品不適用“對等關稅”的加征?
根據行政令,部分商品不受“對等關稅”約束。主要包括:(1) 受50 USC 1702 (b)約束的商品;(2) 已受第 232 條關稅約束的鋼/鋁制品和汽車/汽車零部件;(3) 行政令附件二所列的其他產品,包括銅、藥品、半導體、木材制品、特定關鍵礦產資源、能源和能源產品;(4) 所有可能受未來第 232 條關稅約束的商品;(5) 金銀;(6) 美國沒有的能源和其他某些礦物;(7)符合USMCA的墨西哥和加拿大產品(第 232 條關稅針對的商品除外);(8)來自適用《美國協調關稅表》(HTSUS)第二欄列明稅率的貿易伙伴的所有商品。[注3]
問題三:美國是按照貨物的進口全部價格加征關稅嗎?
首先,行政令所設定的從價稅率應僅適用于商品中非美國原產的內容部分,前提是商品至少20%的價值為美國原產。其中,“美國原產內容”系指完全在美國生產,或在美國實質加工后形成的部分的價值。美國海關與邊境保護局(CBP)在法律允許的范圍內,得授權收集有關進口商品的信息和文件,包括報關申報信息,以便CBP能夠查明并核實該商品中美國原產內容的價值,以及查明并核實該商品是否在美國實質完成制造。
其次,本次行政令還賦予特朗普修改權,允許特朗普在貿易伙伴進行報復時提高關稅,或者在貿易伙伴采取重大措施糾正非互惠貿易安排并在經濟和國家安全問題上與美國保持一致時降低關稅。此外,如果美國制造業的產能和產量持續惡化,特朗普可以進一步修改《協調關稅表》,以提高行政令下的關稅。
問題四:美國對各個國家和地區的對等關稅是如何計算出來的?
本次特朗普頒布的行政令對于57個國家和地區適用了不同的對等關稅稅率,這些對等關稅稅率是如何確定的?
特朗普表示,其政府根據各國對美國進口產品征收的貨幣稅,以及非貨幣貿易壁壘(例如使美國產品更難進入這些市場的法規)來確定對每個國家、地區加征的關稅稅率。
特朗普政府貿易代表辦公室隨后公布了對等關稅的計算方法。[注4]白宮給出的基本計算方法如下:
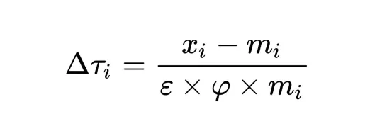
假設這樣一種情形:美國對國家i征收的關稅稅率為τ_i,關稅變動為 ?τ_i。設ε<0表示進口相對于進口價格的彈性,φ>0表示關稅向進口價格的傳導程度,m_i>0 表示從國家i的總進口額,x_i>0 表示對國家i的總出口額。那么,由于關稅變動導致的進口減少量為 ?τ_i × ε × φ × m_i < 0。假設抵消匯率和一般均衡效應足夠小以至可以忽略,導致雙邊貿易差額為零的對等關稅滿足下列條件:

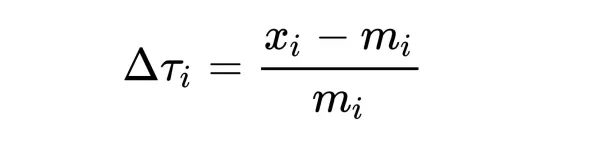
在特朗普政府的公式中,ε = 4 ,φ = 0.25,因此εxφ=1,對計算結果毫無影響。在此情況下,x_i-m_i為美國對i國的貿易逆差,該公式得簡化為:

也就是說,歸根結底,特朗普政府計算對等關稅的方法是:對等關稅=美國與某國的貿易逆差/美國從該國的進口總額。實際執行中,對不同國家和地區加征的對等關稅在上述計算結果的基礎上大致被除以二。
問題五:本次加征關稅可以持續多久?
特朗普政府宣布,本次加征的關稅將一直有效,直到特朗普總統認定貿易逆差及其背后的非互惠待遇所構成的威脅已經被消除、解決或緩解為止。然而,根據美國法律,本次加征關稅是否可以如特朗普所說的在其認為“威脅”被消除前一直持續下去,企業又是否有必要期待短期內的關稅變化并采取相應措施?
本次特朗普頒布宣布國家緊急狀態同時加征關稅的行政令所援引的法律包括:《國際緊急經濟權力法》(50 USC 1701 et seq.)(IEEPA)、《國家緊急狀態法》(50 USC 1601 et seq.)(NEA)、經修訂的《1974 年貿易法》第 604 節(19 USC 2483)以及《美國法典》第 3 篇第 301 節。
其中,《國際緊急經濟權力法》[注5]授權總統在國家緊急狀態下監管出口,此為特朗普政府加征關稅的法律基礎。同時結合《1984年對外貿易法》《1962年貿易擴展法》等法律,國會授權總統在特定的條件和程序下調整進口、征收關稅。
根據《國家緊急狀態法》第202條(a)款[注6],國家緊急狀態終止的條件為:已頒布聯合決議終止緊急狀態,或者總統發布公告終止緊急狀態。其中,聯合決議需要國會兩院達成一致。此外,國家緊急狀態要求總統“一年一續”。除上述規定外,國家緊急狀態沒有明確的時限要求。
基于此,本次特朗普政府基于國家緊急狀態的加征關稅措施在美國法律下似乎并沒有明確的時間限制,理論上可以由特朗普每年通過延長國家緊急狀態的方式加以延續。因此,我們不建議企業基于美國法律可能就加征關稅存在時限要求的預期制定經營計劃。
02
中國對美國對等關稅的反制措施
問題六:中國實施的反制措施有哪些?
2025年4月2日,美國政府宣布對中國輸美商品征收“對等關稅”。這一單邊主義做法嚴重違反國際貿易規則,損害了中國的正當合法權益。為維護國家主權、安全和發展利益,中國迅速采取了一系列反制措施。包括——
1. 加征關稅
2025年4月4日,國務院關稅稅則委員會發布《國務院關稅稅則委員會關于對原產于美國的進口商品加征關稅的公告》(稅委會公告2025年第4號)
加征范圍:對原產于美國的所有進口商品,在現行適用關稅稅率基礎上加征34%關稅。
保稅、減免稅政策:現行保稅、減免稅政策不變,此次加征的關稅不予減免。
過渡期安排:2025年4月10日12時01分之前,貨物已從啟運地啟運,并于2025年4月10日12時01分至2025年5月13日24時進口的,不加征本公告規定加征的關稅。
2. 出口管制
2025年4月4日,商務部會同海關總署發布《公布對部分中重稀土相關物項實施出口管制的決定》(商務部 海關總署公告2025年第18號),對釤、釓、鋱、鏑、镥、鈧、釔等7類中重稀土相關物項實施出口管制。
2025年4月4日,商務部發布《公布將16家美國實體列入出口管制管控名單》(商務部公告2025年第21號),將16家美國實體列入出口管制管控名單,禁止對其出口兩用物項。
3. 不可靠實體清單
2025年4月4日,商務部發布《不可靠實體清單工作機制關于將斯凱迪奧公司等11家美國企業列入不可靠實體清單的公告》(不可靠實體清單工作機制公告〔2025〕7號),將11家美國企業列入不可靠實體清單,禁止這些企業從事與中國有關的進出口活動,并禁止其在中國境內新增投資。
4. 暫停部分美企產品輸華資質
2025年4月4日,海關總署發布《關于暫停美國C&D (USA) INC.企業高粱和American Proteins inc.等3家企業禽肉骨粉輸華資質的公告》(海關總署公告2025年第54號)和《關于暫停美國2家禽肉企業產品輸華的公告》(海關總署公告2025年第55號),決定暫停6家美國涉事企業的產品輸華資質,包括1家高粱輸華企業、3家禽肉骨粉輸華企業和2家禽肉產品輸華企業。
5. 反傾銷及產業競爭力調查
2025年4月4日,商務部發布《公布對原產于美國、印度的進口相關醫用CT球管發起反傾銷立案調查》(商務部公告2025年第20號)公告與《公布對進口醫用CT球管發起產業競爭力立案調查》(2025年第19號)公告。
6. 在世貿組織起訴美“對等關稅”[注7]
美東時間4月2日,美方宣布對包括中國在內的所有貿易伙伴征收“對等關稅”,中方已在世貿組織爭端解決機制起訴。
問題七:原有與進口貨物有關的“保稅、減免稅政策”如何適用?
進出海關特殊監管區域和保稅監管場所的保稅貨物、加工貿易保稅貨物、減免稅貨物的稅款征收分別按照《中華人民共和國海關加工貿易貨物監管辦法》《中華人民共和國海關關于加工貿易邊角料、剩余料件、殘次品、副產品和受災保稅貨物的管理辦法》和《中華人民共和國海關進出口貨物減免稅管理辦法》進行監管。
1. 保稅貨物受加征關稅的影響
《稅委會公告2025年第4號》第二條明確“現行保稅政策不變”,即保稅區、保稅倉庫、加工貿易保稅進口等政策仍按原規則執行。根據《中華人民共和國關稅法》(以下簡稱“《關稅法》”)第三十六條保稅貨物在進口時暫不繳納關稅,在加工后復出口也不需繳納關稅[注8]。但在貨物實際進入國內市場(內銷)時,根據《中華人民共和國海關加工貿易貨物監管辦法》第三十一條第一款,“加工貿易保稅進口料件或者成品內銷的,海關對保稅進口料件依法征收稅款并且加征緩稅利息,另有規定的除外。”因《中華人民共和國海關加工貿易貨物監管辦法》未排除特別關稅措施,從上述條款的表述來看,若在海關特殊監管區域的原產于美國的保稅貨物在《稅委會公告2025年第4號》規定的過渡期之外申報二線進口(從海關特殊監管區域進入我國境內非保稅區),需在繳納原有關稅、增值稅的基礎上加征34%關稅。需要注意的是保稅貨物的副產品若內銷,參照《中華人民共和國海關關于加工貿易邊角料、剩余料件、殘次品、副產品和受災保稅貨物的管理辦法》第十三條[注9]第一、四款規定,對加工貿易內銷邊角料(申報監管方式為“進料邊角料內銷(0844)”或“來料邊角料內銷(0845)”,且征免性質不為“副產品內銷(498)”的報關單內相關商品)和符合條件的受災保稅貨物免于征收《稅委會公告2025年第4號》規定加征的關稅。加工貿易剩余料件、副產品和其他受災保稅貨物的處置,仍按第十三條的規定辦理。此外,在海關特殊監管區域內保稅進口的特定商品,其加工后的成品將不再享受保稅流轉政策,內銷時需按照《稅委會公告2025年第4號》規定,對全部保稅料件征收相應稅款。同樣,海關特殊監管區域外保稅進口的特定商品,其加工后的成品(包括副產品和殘次品)也不再允許保稅流轉,無論是否實際離境,均需辦理出口離境或內銷手續,內銷時同樣按照《稅委會公告2025年第4號》對全部保稅料件征收稅款。這一解讀僅基于對條款的初步分析,據悉海關總署在此前兩輪加征關稅反制中有內部文件對加貿業務做具體指引,因此具體操作企業可以咨詢主管海關業務現場以獲取準確信息。
保稅貨物的計稅價格仍按《中華人民共和國海關審定進出口貨物完稅價格辦法》(海關總署令第213號)確定,通常以成交價格為基礎。而內銷保稅貨物的計稅價格按照《中華人民共和國海關確定內銷保稅貨物計稅價格辦法》確定,也以成交價格為基礎確定。但內銷保稅貨物的應繳關稅為“計稅價格×(基礎關稅稅率+34%)”。
2. 減免稅貨物受加征關稅的影響
我國的減免稅主要分為法定減免稅和特定減免稅,法定減免稅主要規定在《中華人民共和國海關法》(以下簡稱“《海關法》”)第五十六條,主要包括:(一)無商業價值的廣告品和貨樣;(二)外國政府、國際組織無償贈送的物資;(三)在海關放行前遭受損壞或者損失的貨物;(四)規定數額以內的物品;(五)法律規定減征、免征關稅的其他貨物、物品;(六)中華人民共和國締結或者參加的國際條約規定減征、免征關稅的貨物、物品;特定減免稅根據《海關法》第五十七條是指“在前述法定減免稅之外,國家對特定地區、特定企業或特定用途的進出口貨物給予的關稅減免。并且未經海關核準并補繳關稅,不得移作他用。”可以看出,特定減免稅是為了滿足一定的發展目的而設定的政策優惠,具有很強的政策性。
《稅委會公告2025年第4號》第二條指出“減免稅政策不變”,但“此次加征的關稅不予減免”。這意味著如果某商品原本享受優惠稅率(如無償贈送物資等),仍可適用原優惠稅率,但需要額外加征34%關稅。如果某商品原本享受特定減免稅(如科教用品、重大技術裝備等),其基礎稅率仍可減免,但加征的34%部分必須全額繳納。然而,根據《中華人民共和國海關進出口貨物減免稅管理辦法》第二十八條、三十一條及相關規定[注10],若減免稅貨物經批準轉讓、移作他用或者進行其他處置,應該按照轉讓、移作他用的時間補繳稅款。結合該條款,若該處置日期在《稅委會公告2025年第4號》過渡期之外的,該減免稅貨物除了不享受法定以及特定減免稅外,還需要全額加征34%關稅。這一規定需結合具體情況進行分析,具體操作建議咨詢相關部門。
減免稅貨物因轉讓、提前解除監管以及減免稅申請人發生主體變更、依法終止情形或者其他原因需要補征稅款的,計稅價格按照《中華人民共和國海關進出口貨物減免稅管理辦法》第二十九條的規定進行計算,其計算公式為:補稅的計稅價格=減免稅貨物原進口時的計稅價格×[1-減免稅貨物已進口時間/(監管年限×12)];減免稅申請人將減免稅貨物移作他用,需要補繳稅款的按照《中華人民共和國海關進出口貨物減免稅管理辦法》第三十二條的規定進行計算,其計算公式為:補稅的計稅價格=減免稅貨物原進口時的計稅價格×需要補繳稅款的時間/(監管年限×365)。
03
加征關稅可能的風險及應對措施
問題八:是否可以適用合同中的不可抗力條款?
在國際貿易合同中,不可抗力(Force Majeure)條款的適用存在顯著的法域差異。依據中國《民法典》第一百八十條,不可預見需要符合不可預見、不可避免、不可克服三項要件,方能成立。相比之下,美國的《統一商法典》(UCC)第2-615條[注11]和普通法原則對不可抗力的認定更為嚴格,要求達到“商業上不可行”(Commercially Impracticable)的程度。相關判例及文章中指出,單純的關稅成本增加通常不構成免責理由,除非達到“極端且不合理”的程度[注12]。
因此,在實務操作中,為保障中國企業利益,建議采取以下策略:
1. 在進口美國產品的場景下
首先,企業應當在商業合同中明確因關稅政策變化導致成本增加的分擔機制。例如,產品進口后如果存在下游銷售、加工等合同的,因關稅增加的成本是由進出口雙方承擔,還是在進口商和產品的實際消費、使用單位之間分擔?
其次,對于生產型企業,還應注意除關稅稅率本身變動外,其他因關稅政策變化可能導致增加的成本,例如為避免適用加征關稅可能需要提前安排生產、運輸、清關等而導致的額外成本。對此,建議在合同中明確各方在關稅政策變動時的成本分擔方式。例如,因關稅政策變化(如本次加征關稅)導致的應對措施成本,是否可能要求產品出口方合理分擔?
最后,在當前國際貿易中關稅政策快速變動的大背景下,企業應考慮是否在合同中附加特定的終止條款。尤其是對于未鎖定進口產品最終銷售對象或使用單位的進口企業,可以考慮與出口方約定當因關稅加征使履行變得對一方明顯不公平或在商業上不具可行性時,允許單方解除合同并免于違約責任,從而維護自身商業利益。
2. 在產品向美國出口的場景下
本次美國加征關稅,可能導致關稅傳導影響進口價格,進而導致美國國內商品價格上漲。因此,出口企業應當著重考慮關稅加征導致出口產品銷售受到影響時,由此造成的包括一方取消合同在內的損失如何分擔。
此外,出口企業還應考慮,對于因本次及后續加征關稅導致美國進口企業要求提前排產、發運的,由此造成的額外成本應當如何分擔。
3. 其他需要注意的問題
除上述問題外,需要特別提示的是,國際貿易合同中約定仲裁條款的,可能因仲裁機構約定不同導致適用不同的仲裁規則,進而可能在仲裁程序、效率、費用分配以及裁決執行等方面造成差異,甚至可能導致不同的仲裁裁決結果。因此,企業應當根據自身業務實際情況,在專業人士的指導下審慎約定特定交易合同中的仲裁條款。
問題九:中國加征關稅是否可能排除?
中國對美國加征關稅排除目前有商品排除和市場化采購排除兩種類型。根據《國務院關稅稅則委員會關于試行開展對美加征關稅商品排除工作的公告》(稅委會公告〔2019〕2號)商品排除針對已公布且未停止或未暫停加征對美301措施反制關稅的商品,被納入對美加征關稅商品排除清單、在排除期限內的,無需進行申請,自動獲得排除待遇。最新的排除清單為《對美加征關稅商品第十六次排除延期清單》和《對美加征關稅商品第十五次排除延期清單》,均于2025年2月28日到期,新的延期排除清單暫未有公告發布。市場化采購排除則依據《國務院關稅稅則委員會關于開展對美加征關稅商品市場化采購排除工作的公告》(稅委會公告〔2020〕2號),允許符合條件的企業基于市場化和商業化原則,對自美采購的進口商品,在一定期限內不再加征我國對美301措施反制關稅。申請主體可對《可申請排除商品清單》內的商品申請排除,也可對清單外商品提出增列排除商品的申請,國務院稅則委員會每季度更新公布市場化采購排除申請獲批情況。
鑒于目前新的排除清單尚未發布,且對稅委會公告2025年第4號也未發布相應的排除措施,建議企業提前準備排除申請材料,重點關注以下方面:(1)證明進口商品對國內生產和民生至關重要且無可替代;(2)加征關稅將對企業造成嚴重經濟損害;(3)進口商品不直接涉及中國反制的目標行業。特別是對于高科技設備零部件等戰略性商品,建議企業聯合相關行業協會共同推動排除政策的制定與實施。在申請過程中,應注重證據材料的專業性、完整性和針對性,以提高申請成功率。
問題十:美國加征關稅是否可能豁免?
根據行政令,獲得豁免的商品已在2025年4月3日白宮官網公布的關稅豁免清單[注13]中明確列出,其中包括能源產品、多種礦產、能源和制造業使用的化學品,以及鋼鐵和鋁、銅金屬。在附件中表明自2025年4月5日美東夏令時間中午 12:01 起(對應北京時間4月6日凌晨 00:01),對于進入消費或從倉庫提取消費的商品,適用修改后的美國統一關稅表(HTSUS)第99章第3分章。
中國企業應對策略應包括以下方面:首先,需立即組建專業團隊對22頁豁免清單進行全面篩查,重點核查經營商品的HTSUS子類別是否正確,以及是否屬于HTS編碼第98章第III分章項下商品。若判斷商品屬于豁免范圍,需在豁免生效后及時申報。對于難以確定的稅號的商品,企業可依據19 U.S.C.§1625和19 CFR§177向美國海關申請預裁定,以獲得明確的歸類指導。其次,申報文件需構建三重證明體系,包括基礎法律文件(經公證的原產地證書、產品技術規格書)、海關申報文件(在自動商業環境(ACE)系統中,使用專用HTS編碼并附加豁免條款注釋)以及補充證據材料(第三方檢測報告等)。此外,企業應建立豁免商品動態監測機制,及時跟蹤政策變化和海關執法動態,確保合規申報并充分利用豁免政策,降低貿易成本,提升市場競爭力。
問題十一:過渡期內貨物運輸涉及風險及應對。
在加征關稅的過渡期內,貨物運輸面臨的核心風險主要源于物流成本的結構性突變以及多方責任的重構。運輸成本的異常波動(如空運溢價可達海運成本的8-10倍)已實質性突破既有合同框架,建議企業通過簽署專項補充協議鎖定運費分攤機制,明確約定成本超支部分的分擔比例及結算方式(例如約定基準運價浮動超15%即啟動重新議價程序),同步修訂信用證金額并擴展單據條款以覆蓋緊急運輸產生的附加費用。針對運輸方式變更(如海運轉空運),須同步更新保險條款并取得保險人的書面確認,避免因承保范圍偏差導致貨損索賠障礙。三方責任重構衍生多重法律隱患,買方介入運輸環節易引發權責體系失衡。倒簽提單行為可能構成《海關法》第八十四條下的偽造單證,面臨行政處罰甚至刑事責任風險;簡化驗貨程序則可能導致《民法典》第六百二十三條質量瑕疵抗辯權喪失。對此,建議在運輸合同中用補充協議增設關稅過渡期特別條款,明確限定特殊操作的有效期,并同步建立電子證據管理系統,對裝運驗貨過程實施雙錄視頻歸檔,確保關鍵操作環節的證據效力。對于高風險運輸指令(如要求承運人突破安全裝載標準),應取得賣方書面確認并載入運輸合同附件,避免事后責任推諉。
注釋及參考文獻
作者簡介
李繇
國浩海關與稅務業務委員會主任
業務領域:海關法、國際貿易、企業合規等
郵箱:liyou@grandall.com.cn
李銘傳
國浩南京律師助理
業務領域:國際貿易、企業合規
郵箱:limingchuan@grandall.com.cn
盧智虞
國浩南京法務秘書
業務領域:海關法、國際貿易
郵箱:luzhiyu@grandall.com.cn
【 特別聲明:本篇文章所闡述和說明的觀點僅代表作者本人意見,僅供參考和交流,不代表本所或其律師出具的任何形式之法律意見或建議。】
